Bridges In Mathematics Grade 5 Unit 1 Module 3 Answer Key
3 5 9 128 64 32 16 18 36 72 Responses will vary. Bridges in Mathematics Grade 2 Student Book Answer Key Bridges in Mathematics Grade 2 Home Connections Answer Key Bridges in Mathematics Grade 2 Components Manipulatives Bridges Educator Site Work Place Games Activities Number Corner Grade 2 Teachers Guide Volumes 13 Number Corner Grade 2 Teacher Masters Number Corner Grade 2 Student.
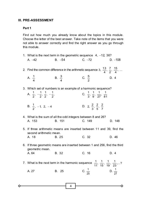
Grade 10 Math Module Answer Key Unit 4 Pre Assessment Gamers Smart
A fraction is in its simplest form when its numerator and denominator have no common factor other than 1.

Bridges in mathematics grade 5 unit 1 module 3 answer key. 8 5 2 3 _____ 3 Fill in the ratio table for 38. There should be 30 groups of 10 units each. Bridges in Mathematics Grade 1 Student Book Answer Key Bridges in Mathematics Grade 1 Home Connections Answer Key Bridges in Mathematics Grade 1 Components Manipulatives Bridges Educator Site Work Place Games Activities.
Merely said the bridges in mathematics grade 5 unit 1 module 1 mlc is universally compatible afterward any devices to read. Unit 3 Module 3 Session 1 Checkpoint Memory Bytes Summary Students take a checkpoint on comparing rounding adding and subtracting decimals Then. Bridges in Mathematics Grade 3 Student Book Answer Key Bridges in Mathematics Grade 3 Home Connections Answer Key Bridges in Mathematics Components Manipulatives Bridges Educator Site Work Place Games Activities.
2 35 65 or 3 25 65 163 5 13. Online Library Bridges In Mathematics Grade 5 Unit 1 Module 1 Mlcdownload any of our books when this one. Bridges in Mathematics Grade 4 Teacher Masters Answer Key Bridges in Mathematics Grade 4 Student Book Answer Key Bridges in Mathematics Grade 4 Home Connections Answer Key Bridges in Mathematics Grade 4 Components Manipulatives Bridges Educator Site Work Place Games Activities Number Corner Grade 4 Teachers Guide Volumes 13 Number Corner.
Circulate around the room to make observations and answer questions. Unit 2 Module 3 Session 1 5 When the students have had 2030 minutes to work on the assignment. 4 13 Responses will vary.
A Sara built 300 with hundreds mats. 22540 5 _____ 2 Subtract. Answers to 2d e and f will vary depending on how each.
They say that books are ones best friend and with one in their hand they become. 60 240 10 6 15 20 12 When you double both dimensions the area is 4 times as much. The numbers that will yield a result closest to 1 are 2 3 and 5 used in one of the following equations.
22 The Math earning enter mathlearningcenterorg The Math earning enter grants ermission to learners families and educators to reroduce these documents in aroriate. Bridges in Mathematics Grade 5 Teacher Masters Answer Key Bridges in Mathematics Grade 5 Student Book Answer Key Bridges in Mathematics Grade 5 Home Connections Answer Key Bridges in Mathematics Grade 5 Components Manipulatives Bridges Educator Site Work Place Games Activities Number Corner Grade 5 Teachers Guide Volumes 13 Number Corner. Bridges in Mathematics Grade 3 Teachers Guide Units 18 Bridges in Mathematics Grade 3 Assessment Guide Bridges in Mathematics Grade 3 Teacher Masters Bridges in Mathematics Grade 3 Student Book Volumes 1 2 Bridges in Mathematics Grade 3 Home Connections Volumes 1 2 Bridges in Mathematics Grade 3 Teacher Masters Answer Key Bridges in.
Uni 5 odule 3 NAME DATE. Sevens Pennies Bikes Trikes page 1 of 2. Free ebook download sites.
Answer Key 3 30 300 Student work will vary. 1 Write an equation to match each cube train. Bridges Unit Assessments Unit 1 Addition Subtraction Patterns.
GRADE 5 UNIT 4 MODULE 1 eie. 3 Rewrite each fraction in simplest form by dividing the numerator and denominator by the greatest common factor. The arrangement that will yield a product closest to 1 is 2 38.
Module 1 sets the tone for the year and establishes what a math community looks and sounds like. Unit 3 Adding Subtracting Counting Comparing. About This Session Until now students have worked with ratio tables.
After playing Work Place 1A The Product Game several times students discuss strategies and use the game board to make mathematical observations and. Others may simply multiply the answer to the first problem by 10 reasoning that 40 is ten times as much as 4 1 35 35. Which answers can help find other answers.
Then use the information to solve the long division problem. Number of Groups 1 10 5 20 Total 38 585. The area is also cut in half.

Unit 2 Module 3 Session 5 Fraction Addition Subtraction Story Problems Youtube

Unit 4 Module 3 Session 5 Maria S Multiplication Youtube

Grade 10 Math Module Answer Key Unit 4 Pre Assessment Gamers Smart
Bridges In Mathematics Grade 5 Home Connections Answer Key Pgs 15 18 Teaching Mathematics
Bridges In Mathematics Grade 5 Home Connections Answer Key Pgs 15 18 Teaching Mathematics
Bridges In Mathematics Grade 5 Home Connections Answer Key Pgs 15 18 Teaching Mathematics

Common Core Geometry Unit 10 Lesson 3 Homework Answers

Grade 10 Math Module Unit 3 Answer Key Gamers Smart
Grade 10 Math Module Unit 3 Answer Key Gamers Smart
Bridges In Mathematics Grade 5 Home Connections Answer Key Pgs 15 18 Teaching Mathematics
Bridges In Mathematics Grade 5 Home Connections Answer Key Pgs 15 18 Teaching Mathematics
![]()
Bridges Unit 6 Worksheets Teaching Resources Tpt

Grade 10 Math Module Unit 3 Answer Key Gamers Smart

Grade 10 Math Module Unit 3 Answer Key Gamers Smart
Bridges In Mathematics Grade 5 Home Connections Answer Key Pgs 15 18 Teaching Mathematics

Grade 10 Math Module Answer Key Unit 4 Pre Assessment Gamers Smart

Grade 10 Math Module Answer Key Unit 4 Pre Assessment Gamers Smart

Grade 10 Math Module Answer Key Unit 4 Pre Assessment Gamers Smart
Bridges In Mathematics Grade 5 Home Connections Answer Key Pgs 15 18 Teaching Mathematics